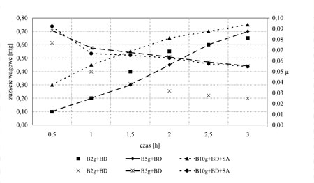
Wyniki pomiarów zużycia na maszynie Amslera i chwilowego współczynnika tarcia przedstawia rysunek 3.

Rysunek 3. Zużycie wagowe (lewa oś i rosnące krzywe) i wartości chwilowego współczynnika tarcia (prawa oś i malejące krzywe) powłok Ni-B w czasie trwania próby.
Badania zużycia kompozytowych powłok Ni-B wykazały różnice w odporności na zużycie w procesie tarcia tych warstw. Powłoki osadzone z kąpieli zawierającej 2 i 5 g/dm3 boru oraz 5 mM butyndiolu wykazały lepszą odporność na zużycie od powłoki osadzonej z kąpieli zawierającej 10 g/dm3 boru, 15 mM SA i 5 mM BD (Rys. 3). Te powłoki charakteryzowały się niewielką mikrotwardością, co wskazuje, że wzrost odporności na zużycie nie zawsze koreluje ze wzrostem twardości. Biorąc pod uwagę korelację mikrotwardości z rozmiarami ziaren niklowych wykazaną powyżej, można przypuszczać, że zmniejszanie rozmiarów krystalitów nie poprawia odporności na zużycie powłok kompozytowych. Wartości współczynnika tarcia wszystkich testowanych w badanym skojarzeniu ślizgowym powłok były bardzo małe i zmniejszały się w czasie próby (rys. 3).
Podsumowanie
1. Cząstki dyspersyjne i składniki dodatkowe użyte w kąpieli wpływały na skład i strukturę elektroosadzanej warstwy.
2. Zmiana składu i struktury powłok kompozytowych pociągała za sobą zmianę ich właściwości, takich jak: mikrotwardość, chropowatość czy odporność na zużycie.
3. Poprzez modyfikację składu kąpieli jest możliwe takie modyfikowanie składu powłoki kompozytowej, w wyniku którego będzie możliwa poprawa właściwości wytworzonych warstw.
LITERATURA
[1] M. El-Sherif, U. Erb, Plat. Surf. Finish., 1995, 82, 85.
[2] N.V. Myung, M. Schwartz, K. Nobe, Plat. Surf. Finish., 2000, 87, 76.
[3] A. Wolkenberg, A. Tokarz, A. Bochenek, Z. Nitkiewicz, A. Banaszkiewicz, H. Wrzesińska, A. Kudła, Problemy Eksploatacji, 2000, 2, 487.
[4] W. Schwarzacher, D.S. Lashmore, IEEE Trans. Magnetics, 1996, 32, 3133.
[5] N.V. Myung, K. Nobe, Plat. Surf. Finish., 2000, 87, 125.[6] L. Benea, P.L. Bonora, A. Borello, S. Martelli, F. Wenger, P. Ponthiaux, J. Galland, J. Electrochem. Soc., 2001, 148, C461.
[7] C.T.J. Low, R.G.A. Wills, F.C. Walsh, Surf. Coatings Technol. 2006, 201, 371.
[8] S. Steinhauser, B. Wielage, T. Lampke, Physico Chem. Mech. Mater., 2004, 4, 489
[9] M. Trzaska, M. Kowalewska, A. Wyszynska, Rev. Adv. Mater. Sci., 2004, 8, 195.
[10] G .W. Khaldeev, W. Koskov, L.M. Jagodina, Zascita Metallov., 1982, 18(5), 719.
[11] Robertson, U. Erb, G. Palumbo, NanoStructured Mater., 1999, 12, 1035.
Anna Gajewska-Midziałek
Benigna Szeptycka
Instytut Mechaniki Precyzyjnej, Warszawa






