Charakterystyka i testy wykonawcze
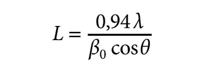
Powierzchnie i przekroje były badane przy pomocy skaningowego mikroskopu elektronowego z sondą skanującą emisję pola przy zastosowaniu katody SIGMA VP przedsiębiorstwa Carl Zeiss. Równolegle, przy pomocy mikroanalizy EDS, przy wykorzystaniu Apollo X - krzemowego detektora dryftowego (SDD) przedsiębiorstwa EDAX, odwzorowywane były elementy powierzchni. Odwzorowane zostały aluminium i krzem. W powiększeniu mniejszym niż przez FESEM, przy pomocy mikroskopu optycznego Microscope Solutions, badane były również przekroje. Topograficzne obrazy powierzchni otrzymano przy pomocy laserowego skanującego mikroskopu współogniskowego (LSCM), przy użyciu mikroskopu Olympus BX62 i mikroskopu sił atomowych (AFM) o wielkości 3100 z Veeco Digital Instruments w CASE Western University. Dane o mikro- i nanochropowatości otrzymane na te dwa sposoby zostały porównane z danymi o makrochropowatości mierzonej przy pomocy profilometru stykowego typu Suftest z przedsiębiorstwa Mitutoyo.Pomiary mikrostruktury zostały wykonane przy pomocy dyfraktometru rentgenowskiego D8 Discover z Bruker AXS z promieniowaniem CuK? stosując 0,04°. Wielkość krystalitów oszacowano za pomocą wzoru Scherrera przy pomocy następującego równania:

gdzie jest wielkością krystalitów; jest pełną szerokością przy połowie maksymalnego natężenia (odkształcenie połówkowe FWHM) w radianach, jest kątem Bragga, a długością fali promieniowania rentgenowskiego (CaK?= 1,54 ?). Szczyt poszerzenia zmierzono dla dwóch różnych wartości , odpowiadającym {3,1,1} i {2,2,2} rodzin płaszczyzn. Niejednorodne odkształcenia i efekty instrumentalne zostały pominięte, co oznacza, że otrzymane wartości będą wartościami jakościowymi, ale przydatnymi do porównywania procesów. Właściwości mechaniczne badano poprzez nanoidentację przy użyciu nanoindentera G200 z Agilent na Western Uniwersytet CASE (geometria ostrza Berkovicha). Do testowania wszystkich próbek znajdujących się w pobliżu miejsc o nanowytrzymałości wybrano test trwałości ze stałą siłą pomiaru (CSM). Maksymalna głębokość indentacji została ustalona na około 1 µm. Dla każdej próbki przygotowane zostały trzy punkty testowe. Zostały zmierzone moduły Younga i dane o wytrzymałości dla każdej próbki, na dwóch różnych zakresach głębokości wynoszących: w pobliżu powierzchni (100-200 nm) oraz w masie (900-1000 nm). Współczynnik Poissona dla próbek stopu aluminium został oszacowany na równy 0,32.







